Cheddar Denies Owing $14.9m to UK Firm, Says Case Is Still Ongoing
Nana Kwame Bediako insists court reports are misleading as he moves to appeal enforcement
Cheddar Responds to $14.9 Million Debt Reports
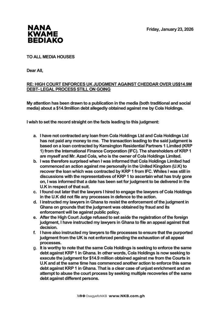
Businessman Nana Kwame Bediako, popularly known as Cheddar, has denied claims that he owes $14.9 million to UK-based Cola Holdings Limited, describing recent reports as misleading and insisting that the matter is still under active legal review.
His response follows reports that the High Court (Commercial Division) in Accra has enforced a judgment from the High Court of England and Wales, allegedly directing him to pay over $14.9 million, plus interest and legal costs, to Cola Holdings Limited.
Background to the Court Judgment
According to a notice published in the Daily Graphic on Thursday, January 22, 2026, the foreign judgment was registered in Ghana on May 20, 2025, after Cola Holdings applied for recognition and enforcement of the UK court’s decision.
The original judgment was delivered on January 23, 2025, by Deputy Master Sabic KC, with variations granted in March and April 2025.
Cheddar Says He Never Took a Loan
In a detailed statement, Mr. Bediako categorically rejected the claim that he personally owes Cola Holdings any money.
“I have not contracted any loan from Cola Holdings Ltd, and the company has not paid any money to me,” he stated.
He explained that the transaction in question relates to a loan obtained by Kensington Residential Partners 1 Limited (KRP 1) from the International Finance Corporation (IFC).
According to him, KRP 1 is jointly owned by himself and Mr. Azad Cola, the owner of Cola Holdings Limited.
Claims of Legal Errors and Appeal Plans
Cheddar said he was surprised when Cola Holdings initiated legal action against him personally in the UK, rather than against the company that contracted the loan.
He further revealed that his UK lawyers failed to file a defence, which resulted in the judgment being entered against him.
As a result, he has now instructed his legal team in Ghana to appeal the enforcement of the judgment on grounds of fraud and public policy, adding that steps have been taken to halt enforcement pending the appeal.

Allegations of Double Recovery and Misrepresentation
Mr. Bediako also accused Cola Holdings of attempting to recover the same debt twice — once from him personally and again from KRP 1.
He described this as “unjust enrichment and an abuse of court process.”
Additionally, he alleged that Cola Holdings failed to inform the UK court that proceedings involving KRP 1 were already ongoing in Ghana, calling the omission fraudulent misrepresentation.
Cheddar Expresses Confidence in Ghana’s Judiciary
Reaffirming his faith in the legal system, Cheddar said he is confident that the truth will ultimately prevail.
“I believe in the rule of law and the justice delivery system in Ghana. I am certain that after all the processes have been exhausted, truth will stand.”
The statement was signed by Nana Kwame Bediako, in his capacity as President of the Kwarleyz Group.
Follow Info Busy on WhatsApp!
Don’t miss our next update!
Join the Info Busy WhatsApp Channel for fresh news alerts, viral stories, and daily facts straight to your phone.
Click on the image to follow ⏬⏬:
Discover more from InfoBusy
Subscribe to get the latest posts sent to your email.









